Operačné siete
Operačný zosilňovač OZ
OZ je skratka pre operačný zosilňovač
Operačná sieť je lineárny obvod s prvkami OZ, R, C, L
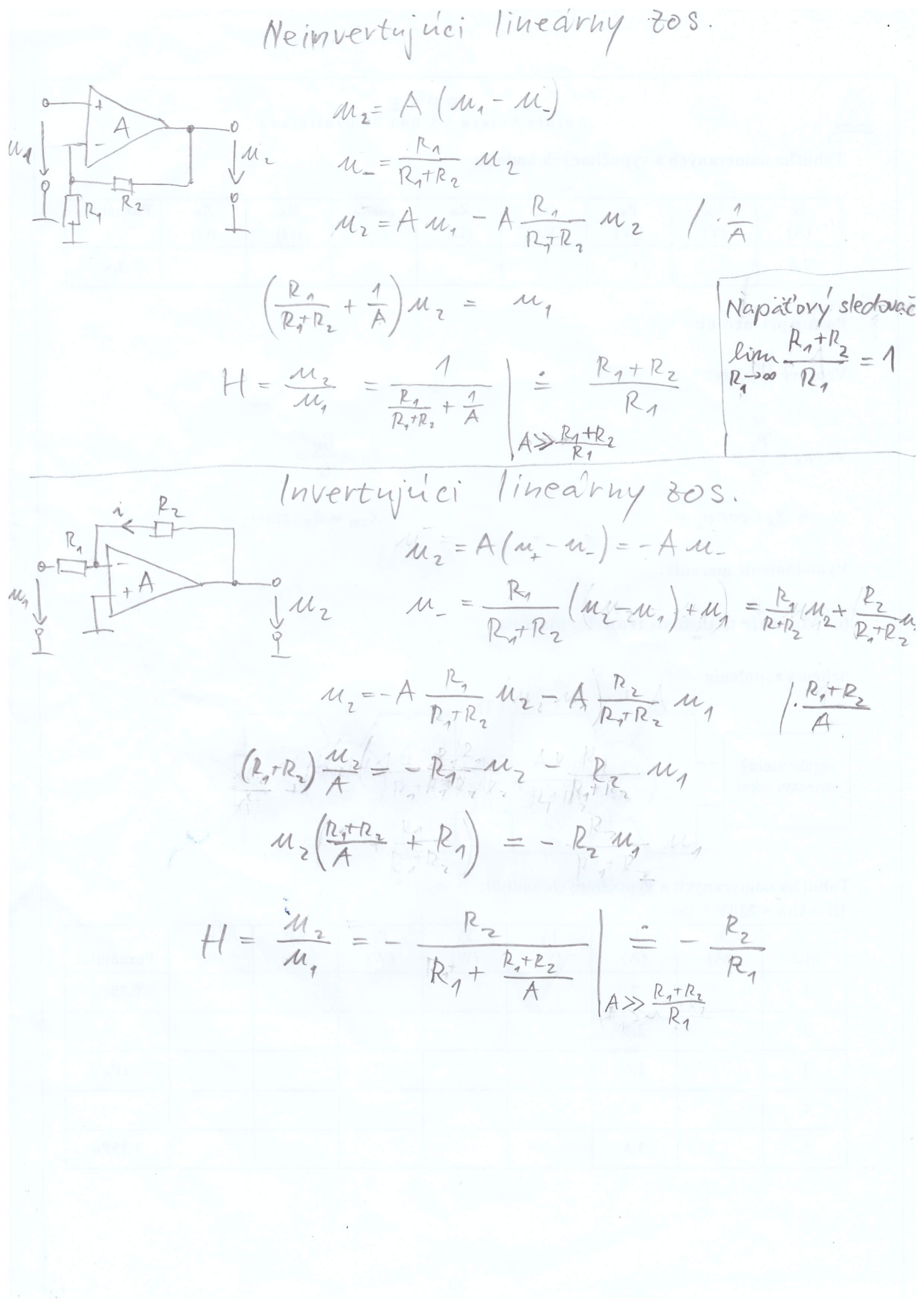
Lineárne zosilňovače
(Ne)Invertujúci zosilňovač
Vstupné offset napätie OZ sa meria tak, že vstup ivertujúceho zosilňovača sa nuluje, zmeria sa U2 a následne sa vyhodnotí U0 pomyselného zdroja na vstupe neivertujúceho zosilňovača
Virtuálna nula Δu (A0->∞)

Analógové počítače
Sumátor
Diferenciátor

Derivácia
Integrácia
Derivátor
Integrátor
